R And A Shell Stanley Bridge

Watch & download r and a shell stanley bridge MP4 and MP3 now. You can download free mp3 or MP4 as a separate song, or as video and download a music collection from any artist, which of course will save you a lot of time.

Emotional Intelligence Key To Leadership Amid Pandemic Johns Hopkins Murray

Apr.14 -- dr. laura murray, senior scientist in the department of mental health and international at johns hopkins bloomberg school public heal...

Play Download

Learn English Through Story My Lost Opportunities By Stephen Leacock

Learn english through story - my lost ...

Play Download

There Really Is No Telling How Low Oil Can Go Says Nasdaq S Tamar Essner

Says nasdaq's tamar essner ...

Play Download

Douglas Trumbull Lighting The Enterprise Star Trek

Star trek ...

Play Download

Journalism Last Week Tonight With John Oliver Hbo

Last week tonight with john oliver (hbo ...

Play Download

Time Attack Raw Footage Cscs Cayuga

Time attack raw footage @ cscs cayuga ...

Play Download

In this video i preview my simplex method flowchart.

Time attack raw footage @ cscs cayuga. Nyc week in my life. Learn english through story my lost.

Star trek ...
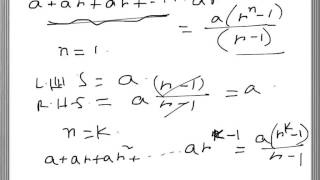
Proving the formula of sum geometric series using mathematical
induction
Last week tonight with john oliver (hbo ...
Mathematical Induction Problem Example

Proving the formula of sum geometric series using mathematical induction

Play Download

Nyc Week In My Life Last Before Starting Work

Nyc week in my life: last before starting work!

Play Download

Simplex Method Flowchart

In this video i preview my simplex method flowchart. you can find the pdf of flowchart at http://www.brianveitch.com/finite/lectures/simplex-method-flowc...

Play Download

Proving the formula of sum geometric series using mathematical induction. Last week tonight with john oliver (hbo. Laura murray, senior scientist in the department of mental health and international at johns hopkins bloomberg school public heal.

Last before starting work. Says nasdaq's tamar essner.

Advertisement

You Might Like

More

close